Aufträge

<< Click to Display Table of Contents >>

Navigation:  »No topics above this level«

Aufträge

INHALTSANGABE

 

 

Auftragserfassung

Auftragserfassung für Konsignationslager

Interne Aufträge

Seminar-Verwaltung

Reparaturauftragspositionen fertigmelden

Bereitstellung von Ware

Automatik-Bereitstellung

Kommissionierungslauf

Automatische Fertigungs-/Materialfreigabe

Anfragen generieren aus Auftragsbestand

Auftragsbestätigungen Stapeldruck

Interne Aufträge Stapeldruck

Auftragsetiketten-Stapeldruck

Berichte

Auftrags-Schnellbearbeitung

Belieferte Aufträge löschen

1: Auftragsstatistik neu aufbauen

 

 

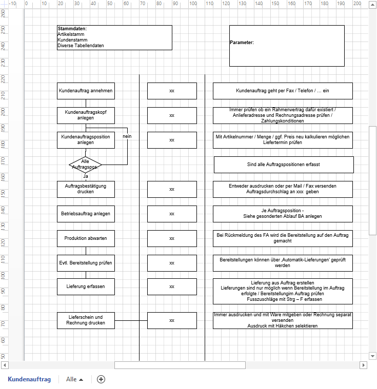
Ablaufdiagramm Verkauf Allgemein

 

AblaufdiagrammVerkaufAllgemein